BPMN Quick Guide
Activity
Adhoc Sub Process
Adhoc Sub Process
Adhoc Collapsed Sub Process
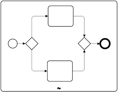
Adhoc Expanded Sub Process